header  
 
Link to this page:

Inequalities

3597 visits

avg rating: 0
0 comments
Tags: (no tags found)
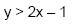
  • Which inequality is represented by the graph?




    You have not completed the item above
  • Which is the graph of - 8 ≤ -x - 5 ?

     
     
     
     


    You have not completed the item above
  • Carson will earn $25 plus $5 for every mile he runs for a fund-raiser. He wants to earn at least $100. Which expression represents the money Carson wants to earn if x equals the miles to run?



    You have not completed the item above
  • Which number line represents the solution to




    You have not completed the item above
  • Julie does not want to spend more than $300 on ice skating. Her skates will cost $42, her lessons will cost a total of $56, and the practice time will cost $7.50 per hour. Which inequality should Julie use to determine the maximum number of hours, h, she can practice without spending more than $300?



    You have not completed the item above
You completed 0 out of 5 gradeable items on this page
This page is worth a total of 0 points
©2006 Octavius