header  
 
Link to this page:

Equations

4041 visits

avg rating: 0
1 comments
Tags: (no tags found)
  • Use this function table to find the value of y when x = 5.

    101
    13
    16
    17


    You have not completed the item above
  • Non Calculator: For which equation is n a negative number?



    You have not completed the item above
  • On January 4, the temperature at 2 p.m. was 5°C. At 11 p.m. it had dropped to –3°C. To find the number of degrees the temperature dropped, which equation could you use?

    5 – 3 = x
    5 – (–x) = –3
    5 – x = –3
    x – (–3) = 5


    You have not completed the item above
  • Twice a number (z) added to 21 is equal to 9 times the number added to 7. What is the number?

    z = -4
    z = -2
    z = 2
    z = 4


    You have not completed the item above
  • Mrs. Herrera is playing a game with her students. She says, "65 subtracted from my number is 32." Which equation could be used to find her number?

    N – 65 = 32
    32 – N = 65
    65 – N = 32
    65 – 32 = N


    You have not completed the item above
  • Neal is selecting a new health club. The one he likes has monthly dues of $24 and a start-up fee of $400. He has determined that the equation y = 400 + 24x can be used to find y, the total cost of being a member at the club based on the number of months, x. After how many months will Neal have spent exactly $1,000 at this health club?

    16
    25
    41
    58


    You have not completed the item above
  • Every day during study hall, Mitchell reads 4 fewer than 4 times as many pages as Alex reads. If Mitchell read 28 pages, how many pages did Alex read?

    6 pages
    7 pages
    8 pages
    24 pages


    You have not completed the item above
  • Marilyn had to read a book that contains 319 pages for her literature class. She can read about 30 pages in 20 minutes. Which of these is CLOSEST to the number of hours it would take Marilyn to read the entire book?

    3.5 hours
    8 hours
    213 hours
    478.5 hours


    You have not completed the item above
  • Determine the value of x that makes the equation shown true 5x + 2 = 42 Which of the following equations is true for the same value of x?

    4x + 2 = 30
    3x – 3 = 5
    3x + 4 = 20
    2x – 4 = 12


    You have not completed the item above
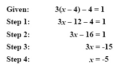
  • Kelly solved the equation below using the steps shown. Which step contains Kelly’s first mistake?

    step 1
    step 2
    step 3
    step 4


    You have not completed the item above
  • Which equation is equivalent to 3(2x – 5) = 4(x + 3)?

    2x = –27
    2x = 27
    10x = –27
    10x = –3


    You have not completed the item above
  • Tom is exactly one year younger than Bill. Which of the following equations most precisely shows the comparison of Tom’s age (T) and Bill’s age (B)?

    T = B + 1
    T > B
    B = T – 1
    T = B – 1


    You have not completed the item above
You completed 0 out of 12 gradeable items on this page
This page is worth a total of 0 points
©2006 Octavius